La Teoría de la Relatividad restringida de Albert Einstein sólo era válida para sistemas inerciales (sin aceleración) y Einstein quería hacerla extensiva también a sistemas acelerados. La gravedad tiene algo especial que no tiene ningún otro campo, y es que no podemos anularla ni aislarnos de ella mediante barreras, cosa que sí podemos hacer, por ejemplo, en campos electromagnéticos. Su omnipresencia nos lleva a pensar que el sistema inercial sin ninguna aceleración de la relatividad especial NO EXISTE y sólo nos vale como aproximación.

Como Einstein dijo en 'El significado de la relatividad': "¿Cual es la justificación de nuestra preferencia porlos sistemas inerciales frente a todos los demás sistemas de coordenadas, preferencia que parece estar sólidamente establecida sobre  experiencias basadas en elprincipio de inercia? La vulnerabilidad del principio de inercia está en el hecho de que requiere un razonamiento que es un círculo vicioso: Una masa se mueve sin aceleraciones si está lo suficientemente alejada de otros cuerpos; pero sólo sabemos que está suficientemente alejada de otros cuerpos cuando se mueve sin aceleración"

 Todo esto nos lleva a pensar que la gravedad y el espacio están unidos entre sí de tal forma que son un solo objeto.  El problema lo resolvió Einstein gracias al teorema de igualdad entre masa inercial y gravitatoria (ya comprobado antes de Einstein mediante la experiencia de Eotvos. Sólo en caso de ser numéricamente iguales las masas gravitatorias e inerte resulta la aceleración independiente de la naturaleza del cuerpo)

(Masa inerte).(Aceleración)=(Intensidad del campo gravitatorio).(Masa gravitatoria)

Como dijo Einstein:

"Es evidente que sólo en el caso de ser numéricamente iguales las masas gravitatoria e inerte resulta la aceleración independiente de la naturaleza del cuerpo"

y dos ideas:

1- El llamado "Principio de equivalencia" entre sistemas de coordenadas acelerados y otros en presencia de un campo gravitatorio (muy vinculado con el teorema de igualdad entre masa inerte y gravitatoria)

2- Aceptando que todo sistema acelerado es inercial localmente en un diferencial de tiempo de la misma forma que podemos considerar la velocidad como constante si sólo consideramos un diferencial de tiempo.

Como dijo Einstein:

"No es posible, por lo tanto, elegir sistemas de coordenadas para las cuales las relaciones métricas de la teoría especial de la relatividad sean válidas para una región finita. Pero el invariante ds existe siempre para dos puntos (sucesos) próximos del continuo."

Aplicando el Principio de equivalencia, imaginemos que todo sistema acelerado puede considerarse como un sistema inercial pero situado en un campo gravitatorio. Igualmente podemos asimilar todo punto o región de un campo gravitatorio a un espacio en estado de aceleración. Partiendo de este supuesto y aplicando las ecuaciones de Minkowsky, éstas se convierten en unas ecuaciones que equivalen a decir que los ejes de coordenadas son curvos, o sea, que el espacio se curva hacia la cuarta dimensión en presencia de un campo gravitatorio. De este modo tenemos que el espacio-tiempo ya no es euclídeo, como se suponía en el espacio cuatridimensional de Minkowsky de la  Relatividad Especial, sino que sigue la geometría de Riemman.

La conclusión a la que se llega es que la gravedad no es una fuerza en sí misma sino que sólo es el resultado visible de una deformación del espacio-tiempo a causa de la presencia de una masa.

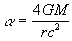
De este modo Einstein dedujo que el espacio se curva alrededor de una masa de tal forma que un rayo de luz que pasara rozando esa masa se desviaría justo el doble de lo que lo haría si estuviera afectado por la gravedad desde un punto de vista clásico (como partícula en movimiento newtoniano).

    Einstein obtuvo, realizando algunas aproximaciones, que la desviación en radianes debía ser:

que (para GM/c2 = 1475   y   r = 6.96  .  108m ) nos proporciona una predicción de un ángulo de 1,75 segundos de arco en un rayo de luz que pase rozando el Sol. (En realidad Einstein hizo en 1911 una primera predicción que daba sólo 0,875 segundos, pero más tarde, en 1915, cuando completó su teoría de la Relatividad General, rectificó sus cálculos hasta los 1,75 s que resultaron correctos)

En los eclipses solares se ha comprobado que realmente ocurre así (las estrellas situadas al borde del astro se encuentran realmente tras él siguiendo una desviación de 1,7° de media), y aunque en las primeras comprobaciones se obtenían unos errores relativos altos, se han realizado mediciones con radiotelescopios observando cuasars al pasar por detrás del Sol y se observa un error menor del 1% respecto a la teoría de Einstein. Esta fue una de las tres predicciones que Einstein realizó para que comprobaran su teoría.

La segunda predicción que realizó fue demostrar que el eje mayor de la órbita de mercurio (que es elíptica) giraba 43 segundos de arco cada 100 años, aparte de los efectos que producen en su órbita la atracción del resto de los planetas. Este hecho ya había sido observado en años anteriores a la teoría de Einstein y había podido ser explicado satisfactoriamente.

La tercera predicción se basó en (en realidad los cálculos correctos se realizan por medio de calculo tensorial en geometría riemanniana, pero aquí lo explicamos por el principio de equivalencia) asignar a todo cuerpo en un campo gravitatorio una energía cinética igual a la energía potencial que tendría a causa del campo gravitatorio, lo cual equivale a asignarle a ese cuerpo una velocidad: la velocidad de escape de un campo gravitatorio, con la que un cuerpo en órbita perdería su órbita elíptica para pasar a una órbita parabólica.

Como Ec = ½ m v² y Ep = G m M /r obtenemos una velocidad  

siendo G la constante de gravitación universal, M la masa que produce el campo gravitatorio (planeta, astro) y r la distancia desde el centro del astro hasta el punto determinado del campo gravitatorio que estamos analizando. Entonces, como toda velocidad produce una disminución del ritmo con que transcurre el tiempo

en el seno de un campo gravitatorio también se frenará el tiempo: el tiempo pasará más aprisa en el espacio lejos de toda atracción gravitatoria que por ejemplo en la superficie de la Tierra. Sustituyendo la penúltima ecuación en la última, podemos obtener para cualquier astro: 

Esto ha sido comprobado hace unos años por medio de relojes atómicos sincronizados, transportando uno de ellos en un avión a elevada altura durante un largo periodo de tiempo y comparando luego ambos relojes. El resultado fue que el reloj que se quedó en tierra atrasó un poco. La predicción que realizó Einstein para comprobar esta idea fue que la luz emitida por una estrella debía tener un espectro algo desplazado hacia el rojo, o sea que la luz emitida tendrá una frecuencia  menor de lo normal debido a que todos sus electrones vibrarán con más lentitud a causa de esa detención parcial del tiempo.
 

CALCULO DE LA RELACIÓN ENTRE FRECUENCIAS

Por el principio de equivalencia la relación entre las frecuencias debería ser    y como la velocidad orbital sería tendremos una relación               

Otra comprobación de este enlentecimiento del tiempo se ha realizado midiendo el tiempo transcurrido desde que se envía una señal a una sonda espacial hasta que se recibe la respuesta. Si la sonda está en conjunción superior con el Sol, las señales pasarán rozando el Sol para ir de la Tierra a la sonda y viceversa, viajando algo más lentas en las cercanías del Sol y produciéndose un retraso respecto a lo previsto. Esto se ha comprobado con las naves Mariner 6 y 7 y con un retraso estimado de 200 µs se ha cumplido dentro de un error del 3 %.

Por otro lado por la misma equivalencia vista tendremos que las varillas de medir deben encoger en presencia de un campo gravitatorio, lo que  nos lleva a un espacio no euclideo sino deformado en presencia de una gran masa gravitatoria.

Estas son tres predicciones que realizó Einstein cuando publicó su Teoría de la Relatividad General. A partir de aquí se han deducido otras consecuencias, algunas de las cuales han sido comprobadas y otras aún no. Lo que se suele usar habitualmente para tratar la Relatividad General es la métrica de Schwarzschild, aunque para ello es necesario manejar aceptablemente la métrica de Minkowsky.
 

                                       © 1985 Javier de Lucas